网站地图

教务处

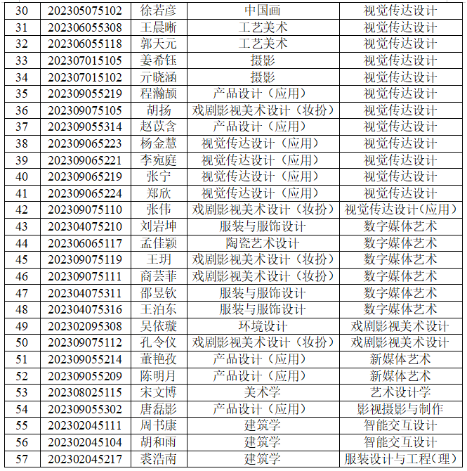
关于李梦雨等57名同学转专业情况的公示

时间:2024.05.22 供稿:教务处 作者:丛培敏
2025新澳门免费原料大全
2025新澳门免费原料大全


根据《2025新澳门免费原料大全关于全日制本科生转专业的办法(鲁工美院办字【201422)规定,学校组织了2023级本科 128名学生转专业报名和考试工作。根据规定,普通理科专业录取办法按平均学分绩点排名,由高到低排名择优录取艺术类专业按考试成绩合格后,成绩由高到低排名择优录取。经考核,同意李梦雨等57名同学转入申请专业学习。为体现转专业工作的公开、公平、公正性,现将结果公示如下:



公示期5225 27日,公示期内如有异议,请联系教务处学籍管理科。邮箱:[email protected] 联系电话:89626213

                            教务处

                                                                                   2024522



分享到:
2025新澳门免费原料大全